
服务热线
来源: 发表时间:2015-05-07 08:51:08 点击次数:【】
在使用筛子时,既要求它的处理能力大,又要求尽可能多地将小于筛孔的纫粒物料过筛到筛下产物中去。因此,筛子有两个重要的工艺指标:一个是它的处理能力,即筛孔大小一定的筛子每平方米筛面面积每小时所处理的物料吨数(t/m3·h),它是表明筛分工作的数量指标。另一个是筛分效率,它是表明筛分工作的质量指标,反映筛分的完全程度。
在筛分过程中,按理说比筛孔尺寸小的细级别应该全部透过筛孔,但实际上并不是如此,它耍根据筛分机械的性能和操作情况以及物料含水量、含泥量等而定。因此,总有一部分细级别不能透过筛孔成为筛下产物,而是随筛上产品一起排出。筛上产品中,未透过筛孔的细级别数量愈多,说明筛分的效果愈差,为了从数量上评定筛分的完全程度,要用到筛分效率这个指标。
所谓筛分效率,是指实际得到的筛下产物质量与人筛物料中所含粒皮小于筛孔兄寸的物料的质量之比。筛分效率用百分数或小数表示。

式中 E——筛分效率,%;
C——筛下产品质量;
Q——入筛原物料质量;
α——入筛原物料中小于筛孔的级别的含量,%。
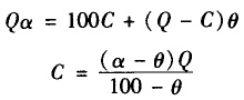
式2-1-3是筛分效率的定义式,但实际生产中要测定c和Q是比较困难的,因此必须改用下面推导出的计算式来进行。
按图2-1-3所示,假定筛下产品中没有大于筛孔尺寸的颗粒,就可以组成两个方程式
(1)原料质量应等于筛上和筛下产物质量之和,即Q=C+T(2-1-4)
(2)原料中小于筛孔尺寸的粒级的质量,等于筛上产物与筛下产物中所台有的小于筛孔尺寸的物料的质量之和,即Qα=100C+Tθ(2-1-5)
式中T——筛上产物质量;
θ——筛上产物中所含小于筛孔尺寸粒级的含量,%。

将公式(2-1-4)代入公式(2-1-5),得

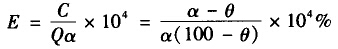
按照公式(2-1-3)表示的筛分效率的定义,将公式(2-1-6)代入公式(2-1-3)中,得到

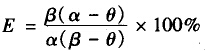
必须指出,上式是指筛下产物中不含有大于筛孔尺寸的颗粒的条件下列出的物料平衡方程式,公式中的α、θ必须用百分数的分子代入。由于实际生产中,筛网常常被磨损,部分大于筛孔尺寸的颗粒总会或多或少的透过筛孔进入筛下产物,如果考虑这种情况,筛分效率应按下式计算:

式中,β为筛下产物中所含小于筛孔级别的含量,%。
筛分效率的测定方法如下:在入筛的物料流中和筛上物料流中每隔15—20min取一次样,应连续取样2—4h,将取得的平均试样在检查筛里筛分,检查筛的筛孔与生产上用的筛子的筛孔相同。分别求出原料和筛上产品中小于筛孔尺寸的级别的百分含量α和θ,代人公式(2-1-7)中可求出筛分效率。如果没有与所测定的筛子的筛孔尺寸相等的检查筛子时,可以用套筛作筛分分析,将其结果绘成筛析曲线,然后由筛祈曲线图中求出该级别的百分含量α和θ。
有时用全部小于筛孔物料来计算筛分效率,这样算得的结果称为总筛分效率。有时只对其中的几个粒级作计算,算得的结果称为部分筛分效率。全部小于筛孔的物料,包含易筛粒和难筛粒,所以总筛分效率就是这两类粒子的筛分效率组成的。倘若部分筛分效率是用易筛粒求得的,它必然比总筛分效率大;如果是用难筛粒算出的,它就比总筛分效率小。
因为有以上讲的这些情况,在遇见筛分效率时,就要注意是用什么公式算的,是总筛分效率还是部分筛分效率,否则就会对所研究的问题认识不清。
(1)含水率。物料的含水率又称湿度或水分。附着在物料颗粒表面的外在水分,对物料筛分有很大影响;物料裂缝中的水分以及与物质化合的水分,对筛分过程则没有影响。例如:筛分某些烟煤时,如水分达到6%,筛分过程实际L就难以进行了,因为煤的水分基本上是覆盖在表面上的;但是,孔隙很多的褐煤的水分虽然达到45%,筛分过程仍然能够正常地进行。
物料在细孔筛网上筛分时,水分的影响尤其突出。由于细粒级的物料的比表面积很大,所以其外在水分也最高c物料的外在水分,能使细颗粒互相粘结成团,并附着在大块上。这种黏性物料会把筛扎堵住。除此以外,附着在筛丝上的水分,在表面张力的作用下,可能形成水膜,把筛孔掩盖起来。所有这些情况,都妨碍了物料在筛面上按粒度分层,使细颗粒难以透过筛孔而留在筛上产物中。
物料所含水分如达到某一范围,筛分效率急剧降低。这个范围取决于物料的性质和筛孔尺寸。物料所含水分超过这个范围以后,颗粒的活动性又重新提高,并逐渐达到湿筛的条件,换句话说,这时物料与水一起进行筛分了。
水分对某种物料的筛分过程的具体影响,只能根据试验结果判断。筛分效率与物料湿度的关系见图2-1-4。图中,两种物料所受酌影响是不同的,产生差别的原因可以由这两种物料具有不同的吸湿性能来解释。

试验表明,有时候把表面活性物质加到含水物料中,可以提高物料的活动性和分散性,改善筛分条件。用不能被水润湿的材料制成的筛面,也能改善筛子的工作效率。
(2)含泥量。如果物料含有易结团的混合物(如黏土等),即使在水分含量很少时,筛分也可能发生困难。因为新土物料在筛分中台钻结成团,使细泥混入筛上产物中;除此以外,黏土也很容易堵塞筛孔。
黏土质物料和黏性物料,只能在某些特殊情况下用筛孔较大的筛面进行筛分。筛网粘住矿石时,必须采用特殊的措施。这些措施包括;湿法筛分(即向沿筛面运动的物料上喷水);筛分前预先脱泥;对筛分原料进行烘干。用电热筛面筛分潮湿且有强性的矿石,能得到很好的效果。
在湿法筛分中,筛子的生产能力比干法筛分时高几倍;提高的倍数与筛孔尺寸有关。湿法筛分所消耗的水量,取决于应该排到筛下产物中的部土混合物、细泥和尘粒的性质与数量,一般情况下,每1m³原料耗水1.5m³左右。如果工艺过程的条件容许进行湿法筛分,从生产厂房的防尘条件来看,湿筛比干筛更易于被人采用。在许多场合下.特别是筛分含砂较多的矿石时,为了减少尘埃飞扬,改善厂房卫生条件,通常使矿石保持一定的水分(4%。6%)。
(3)粒度特性。影响筛分过程的粒皮特性主要是指原料中含有对筛分过程有特定意义的各种粒级物料的含量。
表2-1-2列出了物料的粒度特性对筛分过程的影响。

由表2-1-2中可知,原料中所含的难筛粒及阻碍粒相对其他粒级较多时,对筛分过程不利:而所含的易筛粒和非阻碍粒相对其他粒级较多时,对筛分过程有利。
影响筛分过程的粒度特性还包括颗粒的形状。对于三维尺寸都比较接近的颗粒,如球体、立方体、多面体等,筛分比较容易;而对于三维尺寸有较大差别的颗粒,如薄片体、长条体和怪异体等,在其他条件相同的情况下筛分就比较困难。
(4)密度特性。当物料中所有颗粒都是同一密度时,一般对筛分没有影响。但是当物料中粗、细颗粒存在密度差时,情形就大不一样。若闭粒密度小,细粒密度大,则容易筛分。比如对-50mm破碎级煤与-200网目磨碎级铁矿粉的混合物的筛分,或从稻谷粒中筛出混入的细砂等。这是由于粗粒层的阻碍作用相对较小,而细粒级的穿层及透筛作用却比较大。相反,若粗粒密度大,细粒密度小,比如含有较多粗粒级矸石的煤,筛分就相对因难。
(1)筛面运动形式。筛面运动形式关系到筛上物料层的松散度及需要透筛的细物料相对筛面运动的速度、方向、频率等,因而对分层、透筛过程均合影响。例如,物料在固定筛上的运动,全靠物料在其本身重力的作用下滑移流动,筛分效果较差;在振动筛上,物料的运动能量主要来自筛面的振动,料层不断地充分松散,颗粒相对筛面不断地剧烈冲撞,筛分效果较好:转筒筛运动平缓,料层松散度不够,粗、细颗粒经常混杂,使分层不连续,物料相对筛面的运动速度较小,筛孔容易堵塞;摇动筛上的物料主要是沿筛面方向滑动,在筛面法向的速度分量较小,不利于细粒透筛。几种典型筛子的筛分效率大致如表2-1-3所示。

在振动筛中,筛面的运动形式有因振动、直线振动和椭圆振动几种。其中圆振动形式能使物料充分松散,抗堵孔能力强,但筛上物料的抛射角大,输送能力小。为提高输送能力,不得不加大筛面倾角,这使得筛分粒度不太严格,料层呈加速度输送.减少了接近筛孔尺寸的颗粒在筛面排料端透筛的机会。直线振动形式不能使物料充分松散和重新排列,故细粒物料不易接近筛面而透筛,已经堵塞筛孔的颗粒不易抛出,使筛分过程恶化。但筛上物料的抛射角小,输送能力较大,筛面一般呈水平或接近水平安装,筛分粒度严格,料层呈匀速输送,有利于接近筛孔尺寸的颗粒透筛。椭圆振动形式的“轨迹长轴”是强化筛上物料输送的分量,“轨迹短轴”是促进物料松散的分量,因而兼有圆振动和直线振动的优点,并克服二者的缺点,故筛分质量较高。
(2)筛面结构参数。筛面结构参数如下:
1)筛面灾度省长度。一般情况下,筛面宽度决定筛子的处理能力,筛面越宽,处理能力就越大;筛面长度决定筛子的筛分效率,筛面越长,效率就越高。对于振动筛,增加宽度常受到筛框结构强度的限制。通常.宽度越大,筛框的寿命就越短。目前,我国筛宽一般在2.5m以内,而有的国家筛宽达5.5m。
筛面长度达到一定尺寸后,筛分效率提高很少,甚至不再提高,此时再增加筛面长度只台增加筛子的体积和质量。筛子的处理能力和筛分效率,是两个相依相存的指标,必须同时兼顾才具有实际意义。一般是在确定筛宽后,再根据长宽比确定筛长。我国矿用振动筛的长宽比多采用2,煤用振动筛的长宽比为2.5。
2)筛面倾角。筛面倾角对筛分粒度有影响,倾角大,落下的粒度减小,倾角小,落下的粒度加大。为便于排出筛上物,筛面有时倾斜安装。倾角的大小与筛子的生产率和筛分效率韦密切的关系,这是因为倾角大,料层在筛面上向前运动的速度就快,生产率就大,但物料在阅面上停留的时间缩短,减少了颗粒透筛机会,降低了筛分效率。
3)筛孔的大小、形状及开孔率。筛孔越大,单位筛面积的处理能力就越高,筛分效率仕越高。筛孔的大小主要取决于筛分的目的和要求。对于粒度较大的常规筛分,一般是令筛孔尺寸等于筛分粒度;但是当要求的筛分粒度较小时,筛孔应该比筛分粒度稍大些;对于近似筛分,筛孔要比筛分粒度大很多。
常见的筛孔形状有圆形、方形和长方形三种,依次以直径、边长和短边长来表示筛孔的尺寸。当三种筛子具有相同的筛孔尺寸时,筛下产物的粒度上限却不相同。筛下产物的最大粒度按下式计算:

式中 dmax——筛下产物最大粒度
L——筛孔尺寸;
k——系数,见表2-1-4。

圆形和方形筛孔所得到的筛下物的形状较为规则,而片状和条状的颗粒则容易从长方形筛孔中漏下,因此,长方形筛孔一般制作得较小。但是,在筛分潮湿、黏性的物料时,若把长方形筛孔的长边(通常称为筛缝)顾着筛上物料的移动方向布置,就可减少对筛上物料的阻碍,从而减少堵塞。在一船情况下,筛孔尺寸越大,筛面开孔率就越高。在筛孔尺寸一定时,开孔率越大对筛分越有利,但开孔率常受到筛面强度、使用寿命的限制。
(3)操作条件的影响。对一定的筛子和筛分原料而言,操作条件主要是指给料的数量和给料方式。前者即筛子负荷,通常以t/(台·h)或t/(m²·h)为单位,它与筛分效率的关系在前面已经论述;后者是指应保持连续和均匀地向筛子给料,其中均匀性既包括在任意瞬时的筛
子负荷都应相等,也包括物料是沿整个筛面宽度广给进。此外,及时情理和维修筛面,也有利于筛分操作。
OD在线-OD在线(中国)
B体育·(中国)官网 - BSPORTS
bsports(中国)B—sports登录入口
千亿·球友会(中国)官方网站
qy球友会·(千亿)-官方网站
QY·千亿(球友会)官方网站
江南手机网页版_江南(中国)
万搏官方网页版-万搏(中国)
万搏登陆_万搏(中国)