
服务热线
来源: 发表时间:2015-05-06 15:36:05 点击次数:【】
筛分就是将颗粒大小不同的混合物料,通过单层或多层筛子分成若干个不同粒度级别的过程。矿物在经过破碎后,常常以各种粒度不同的物料混合存在,有的物料甚至还含有水分、黏土或其他杂质,所以需通过筛分以满足生产工艺及操作过程的要求。筛分可分为干法和湿法两种,一般用干法,但对于潮湿物料,特别是潮湿并夹带泥质的物料进行于法筛分很困难,这种物料在筛分时,需要在筛面上喷水,将细粒及泥质冲洗掉。还有一种特殊的湿法筛分,将筛面及物料浸在水面以下。
筛分作用概括起来有分级、脱水、脱泥、脱介,其中分级是最为常用的。筛分是按几何粒度进行分级的,一般用于粗颗粒的分级,不用作纫粒物料的分级。细粒物料通常用水力分级。
松散物辑的筛分过程,可以看做两个阶段组成:
(1)易于穿过筛孔的颗粒通过不能穿过筛孔的颗粒所组成的物料层到达筛面;
(2)易于穿过筛孔的颗粒透过筛孔。
要使这两个阶段能够实现,物料在筛面上应具有适当的运动.一方面使筛面上的物料层处于松散状态,物料层将会产生祈离(技粒度分层),大颗粒位于上层,小颗粒位于下层,容易到达筛面,并透过筛孔。另一方面,物料和筛子的运动都促使堵在筛孔上的颗粒脱离筛面,有利于颗粒透过筛孔。
实践表明,物料粒度小于筛孔3/4的颗粒,很容易通过粗粒物料形成的间隙,到达筛面,到筛面后它就很快透过筛孔。这种颗粒称为“易筛粒”。物料粒度大于筛孔3/4的颗粒,通过粗粒组成的间隙比较困难,这种领教酌直径众接近筛孔尺寸,它透过筛孔的困难程度就愈大,因此,这种颗粒称为“难筛粒”。下面用矿粒通过筛孔的概率理论来作说明。
矿粒通过筛孔的可能性称为筛分概率,一般来说,矿粒通过筛孔的概率受到下列因素影响:(1)筛孔大小;(2)矿粒与筛孔的相对大小;(3)筛于的有效面积,(4)矿粒运动方向与筛面所成的角度;(5)矿料的含水量和含泥量。
由于筛分过程是许多复杂现象和因素的综合,使筛分过程不易用数学形式来全面地描述,这里仅仅从颗粒尺寸与筛孔尺寸的关系进行讨论,并假定了某些理想条件(如颗粒是垂直地投入筛孔),得到颗粒透过筛孔的概率的公式。
松散物料中粒度比筛孔尺寸小得多的颗粒,在筛分开始后,很快就落到筛下产物中,粒度与筛孔尺寸愈接近的颗粒,透过筛几所需的时间愈长。所以,物料在筛分过程中通过筛孔的速度取决于颗粒直径与筛孔尺寸的比值。
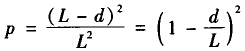
研究单颗矿粒透过筛孔的概率如图2—1—l所示。假设有一个由无限细的筛丝制成的筛网,筛孔为正方形,每边长度为L。如果一个直径为d的球形颗粒,在筛分时垂直地向筛孔下落。可以认为.颗粒月筛邀不相碰时.它就可以毫无阻碍地透过筛孔。换言之,要使颗粒顺利地透过筛孔,在颗粒下落时,其中心应投在纹有虏线的面积(L—d)²内(图2—1—1a)。

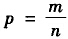
由此可见颗粒透过筛孔或者不透过筛孔是一个随机现象。如果矿粒投到筛面上的次数有次,其中有M次透过筛孔,那么颗粒透过筛孔的频率就是:

当n很大时,频率总是稳定在某一个常数P附近,这个稳定值P就叫做筛分概率。因此筛分概率也就客观地反映了矿粒透筛可能性的大小。

既然概率是某事件出现的可能性的大小,它也就永远不会小于零,也不会大于1,总是在0与1之间,即:0≤p≤1。
可以设想有利于颗征透过筛孔的次数,与面积(L—d)²成正比,而颗粒投到筛孔上的次数,与筛孔的面积L²成正比。因此,颗粒透过筛孔的概率,就决定于这两个面积的比值。

颗粒被筛丝所阻碍,使它不透过筛孔的概率之值等于(1—P)。
当某事件发生的概率为P时,使该事件以概率P出现如需要重复N次,N值与概率P成反比,即:

这里所讨论的贝值就是颗粒透过筛孔的概率为p时必须与颗粒相遇的筛孔数目。由此可见,筛孔数目越多,颗粒透过筛孔的概率越小,当N值无限增大时,P愈接近于零。
取不同的今比值计算出的P和N值,见表2—1—1。利用这些数据可画出图2—14的曲线。曲线可大体划分为两段,在颗粒直径d小于0.75L的范围内,曲线较平缓,随着颓粒直径的增大,颗粒透过筛面所需的筛孔数目有所增加。当颗粒直径超过0.75L以后,曲线较陡,颗粒直径稍有增加,颗粒透过筛面所需的筛孔数目就需要很多。因此,用概率理论可以证明,在筛分实践中,把d<0.75L的颗粒称为“易筛粒”和d>0.75L的颗粒称为“难筛粒”是有道理的。


若考虑筛丝的尺寸(图2-1-1b),与上面所讨论的原理一样,得到颗粒透过筛面的概率公式:

式中 a——筛丝直径;
L——方形筛孔的边长。
上式说明,筛孔尺寸愈大,筛丝和颗粒直径愈小,则颗粒透过筛孔的可能性愈大。
上一篇:我国粗磨机钢球尺寸偏大的原因
下一篇:筛分效率及影响因素
OD在线-OD在线(中国)
B体育·(中国)官网 - BSPORTS
bsports(中国)B—sports登录入口
千亿·球友会(中国)官方网站
qy球友会·(千亿)-官方网站
QY·千亿(球友会)官方网站
江南手机网页版_江南(中国)
万搏官方网页版-万搏(中国)
万搏登陆_万搏(中国)