
服务热线
当前位置:首页>媒体中心>产品百科>建筑垃圾的筛分效率及其影响因素
来源: 发表时间:2015-12-14 16:22:41 点击次数:【】
从理论上讲,物料中坡度小于筛孔尺寸的细粒都能透过筛孔成为筛下产品,而大于筛孔尺寸的粗粒应全部留在筛上成为筛上产品。但是,实际上由于筛分过程中受诸多因素的影响,总合有一些小于筛孔的细粒留在筛上成为筛上产品,筛上产品中未透过筛孔的细粒越多,说明筛分效果越差。筛分效率就是评定筛分设备分离效率的一个指标。
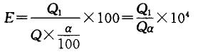
筛分效率是指实际得到的筛下产品质量与入筛物料中所含小于筛孔尺寸的细粒物料质量之比,用百分数表示,即

①筛分物料性质
物料的筛分效率与筛分物料的尺寸分布、颗粒形状、含水率和含泥量密切相关。
建筑垃圾颗粒的粒径分布对筛分效串影响较大。废物中“易筛粒”含量越多,筛分效率越高;而粒度接近筛孔尺寸的“难筛粒”越多,筛分效率则越低。
建筑垃圾颗粒形状对筛分效率也有影响,相对而言,球形、立方形、多边形颗粒的筛分效率较高;而当用方形或圆形筛孔的筛子筛分扁平状或长方块颗粒物时,其筛分效率则低。线状物料如废电线、管状物质等,必须以一绳朝下的“穿针引线”方式缓慢透筛,物料越长,透筛越难。在圆盘筛中,这种线状物的筛分效率会高些。而对于平面状的物料如塑料膜、纸、纸板类等,会大片地覆在筛面上,形成“盲区”而堵塞大片的筛分面积,从而大大降低物料的筛分效率。
建筑垃圾的含水串和含泥量对筛分效率也有一定的影响。当筛孔较小时,废物外表水分会使细粒结团或附着在粗粒上而不易远筛;当筛孔较大、废物含水率较高时,反而造成颗粒活动性的提高,此时水分有促进细粒透筛作用。水分影响还与含扼量有关,当废物中含泥量高时,稍有水分也能引起细粒结团。
②筛分设备性能
筛分设备的筛分效率与其筛面的有效面积密切相关,常见的筛面有棒条筛面、钢板冲孔筛面及钢丝编织筛网三种。棒条筛面有效面积小,筛分效率低;编织筛网有效面积大,筛分效率高;冲孔筛面介于两者之间。
筛子运动方式对筛分效率有较大的影响,不同类型的筛分设备,其筛子运动方式不同,其筛分效率亦不同。同一种固体废物采用不同类型的筛子进行筛分时,其筛分效率大致如表2-1所示。
筛面宽度也是影响筛分设备处理能力的一个重要因素,筛面长度则影响筛分效率,过窄的筛面使废物层增厚而不利于细粒接近筛面;过宽的筛面则又使废物筛分时间太短,一般宽长比为1:(2.5-3)。

筛面倾角的大小决定了筛上产品的排山速度,倾角过小不利于筛上产品的排出;倾角过大,则废物排出速度过快,筛分时间短,筛分效率低。一般较适宜的筛分倾角为15°25°。
③筛分操作条件
在筛分操作中应注意连续均匀给料,使废物沿整个筛面宽度铺成一薄层,既充分利用筛面,又便于细粒透筛,可以提高筛子的处理能力和筛分效率。筛面的及时清理和维修也是保证筛分效率的重要条件。
筛分设备振动不足时,物料不易松散分层,使透筛困难;振动过于剧烈时,物料来不及透筛,便又一次被卷入振动中,使废物很快移动至筛面末端,而被排出,也使筛分效率不高。因此,对振动筛应调节振动频率与振幅等,对滚筒筛而言,重要的是转速的调节.应使振动程度维持在一最合适水平。
上一篇:建筑垃圾的筛分原理及分类
下一篇:筛分设备类型及其应用
OD在线-OD在线(中国)
B体育·(中国)官网 - BSPORTS
bsports(中国)B—sports登录入口
千亿·球友会(中国)官方网站
qy球友会·(千亿)-官方网站
QY·千亿(球友会)官方网站
江南手机网页版_江南(中国)
万搏官方网页版-万搏(中国)
万搏登陆_万搏(中国)