
服务热线
当前位置:首页>媒体中心>产品百科>筛分效率及影响筛分效率的因素
来源: 发表时间:2015-05-04 11:00:04 点击次数:【】
从理论上讲,固体废物中凡是粒度小于筛孔尺寸的细粒都应该透过筛孔成 为筛下产品,而粒度大于筛孔尺寸的粗粒应全部留在筛上,排出成为筛上产品。 但是,实际上由于筛分过程中受各种因素的影响,总会有一些小于筛孔的细粒留 在筛上随粗粒一起排山成为筛上产品,筛上产品中未透过筛孔的细粒越多,说明 筛分效果越差。为了评定筛分设备的分离效率,引入筛分效率这一指标。
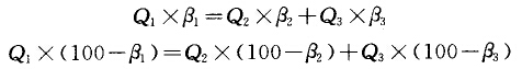
筛分效率的计算公式如下:

式中:η为筛分效率,%;Q1、Q2、Q3为入筛、筛上、筛厂固体废物重量,Q1= Q2十Q3;β1、β2、β3为入筛、筛上、筛下固体废物中小于筛孔的细粒累积含量,%; εx、εc为细粒采收率、粗粒采收率。

评价筛分效率,要求小于筛孔的细颗粒尽可能透筛,大于筛孔的粗颗粒应不 穿过筛孔。筛分效率还有其他的计算公式。这里就不一一介绍。
固体废物的粒度组成对筛分效率影响较大。细粒透筛时,尽管其粒度小于筛 孔,但它们透筛的难易程度不同。粒度小于筛孔尺寸3/4的颗粒,很容易通过粗粒 形成的间隙到达筛面而透筛,称之为"易筛粒";粒度大于筛孔尺寸3/4的颗粒,较 难通过粗粒形成的间隙,而且粒度越接近筛孔尺寸就越难透筛,这种颗粒称为"难 筛粒"。废物中"易筛粒"含量越多,筛分效率越高,而粒度接近筛孔尺寸的"难筛 粒"越多筛分效率则越低。当物料中难筛粒含量高时,可以适当增大筛孔尺寸。
固体废物的含水率和含泥量对筛分效率也有一定的影响。水分含量小于 5%时,筛分效率高;当水分含量增加到5%一12%时,废物外表面水分会使细粒 结团或附着在粗粒上.使其不易透筛,降低筛分效率;当废物含水率较高时反而 造成颗粒活功性的提高,水分有提高细粒透筛的作用,但此时已属于湿式筛分, 即湿式筛分的筛分效率较高。水分影响还与含泥量有关,当废物中含泥量高时, 稍有水分就能引起细粒结团。
另外,废物颗粒形状对筛分效率也合影响,一般来说,球形、立方形、多边形 颗粒筛分效率相对较高;而颗粒呈扁平状或棒状,用方形或圆形筛孔的筛子筛分 时,其筛分效率较低。
常见的筛面有棒条筛面、钢板冲孔筛面和钢丝编织筛网三种,其中棒条筛 面有效面积小,筛分效率低;编织筛网刚相反,钉效面积大.筛分效率高;冲孔筛 而介于两者之间。
筛于运动方式对筛分效率有较大的影响,同一种团体废物采用不同类型的 筛子进行筛分时,其筛分效率大致如表4—1所示。

即使是同一类型的筛子,如振动筛,它的筛分效率因受运动强度的影响而有 差别。当筛子运动强度不足时,筛面上物料不易松散和分层,细粒不易透筛,筛 分效率就不高;但运动强度过大又使废物很快通过筛面排出,筛分效率也不高。
筛由宽度主要影响筛子的处理能力,其长度则影响筛分效率。负荷相等时。 过窄的筛面使废物层增厚而不利于细粒接近筛面;过短的筛面则又使废物筛分 时间太短,一般宽长比为l:(2.5—3)。
筛面倾角是为了便于筛上产品的排出.倾角过小不便于排出筛上产品,倾角 过大则筛上产品排出速度过快,筛分时间短,筛分效率低。一般筛面倾角为15°~25°。
在筛分操作中应注意连续均匀给料,使废物沿整个筛面宽度铺成一薄层,既 充分利用筛面。又便于细粒透筛.可以提高筛子的处理能力和筛分效率。及时清 形和维修筛面也是保证筛分效率的重要条件。
上一篇:粉碎过程速度解析概述
下一篇:辊式破碎机简介