
服务热线
来源: 发表时间:2015-05-04 10:47:40 点击次数:【】
粉碎过程耗能很多,所以过去对粉碎过程的研究主要是研究功耗问题。现在这方面的研究已取得较多进展。然而,单纯功耗理论不是全部粉碎理论,功耗—粒反函数亦不适于描述整个粉砰过程。因而有必要研究粉碎设备的给料和排料之间的关系。
由图1-9可知,粒度分布的变化是不连续的,而是具有若干峰形曲线的多组成分布。要研究第1组成的粒子是如何进入第2、第3或第n组成的,即要确定各组成间的移动速度,也就是用解析的方法确定速度常数。这是模似化学反应的考虑方法。
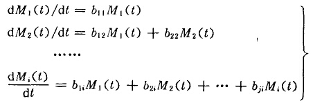
胡基、谢得拉切克和巴斯提出了下列联立方程式

式中M(t)为粉磨t时间后粒度x的筛下量,b(i≠j)表示第j组成的粒子粉碎后进入第i组成移动的质量比例人表示第i组成的粒子粉碎后原粒子的残留比例;b表示第i组成粒子粉碎成比第i组成小的粒子的移动比例。
方程织(1—43)的解如用行列式表示时,则粒应分布等可用矢量表示,而颗粒各粒度组成间的移动速度可用矩阵表示。
这是将粉碎速度论和粉碎产物粒度分布联系起来的有效方法。布劳得本特和卡尔考特于1956年提出了如下的粉碎过程的矩阵表示法。
卡尔考持以任意几何间隔单位。(如筛比)来划分粒度组成,并把1-a。a-a²,a²-a³,…各间隔的频率看作列矢量,给料粒度的分布式定义为

为了研究方便,利用上述表示方法,设粒度分布矢量f={30 20 10},并设实际粉碎中正好有一半粒子受到粉碎,即{15 10 5}受到了粉碎作用。由表1—9可知,该表最下面总计栏内为粉碎前的粒度分布矢量。经过粉碎后,各粒级的颗粒向更小的粒级变移,其变移的比例(百分数)表示在纵列栏内。例如在开始时处于1-a之间的颗粒,经粉碎后在1-a间隔内残留6,转移到a-a²间隔的为3,a²-a³间隔的为3,而其余的(3)则转入比a³更小的间隔。其次,原来处于a²-a³间隔的颗粒经粉碎后在a-a²间隔残留4,转移到a²-a³间隔的为2,转移到比a³更小间隙的为(4)。各粒度相互之间的变化对最初的{15 10 5}的比例可表示如下


此矩阵表示了粉碎前后各组成粒子的移动状态,即表示了粉碎特性,故将其定义为碎裂矩阵B,或称碎裂函数。卡尔考特假定B为如下阶梯矩阵

由表1—9可见,粉碎后总计栏表示受粉碎作用的粒子粉碎后的分布。如加上未受粉碎作用的部分,则可得最后一列所示的粉碎后全部粒子的分布,即粉碎作用产生了{30 20 10}—{21 17 12}粒度分布的变化。
如将这一过程用矩阵表示则可写成下式

式中P为初碎产物的粒度分布列矩阵,I为单位矩阵,S为选择函数。
进入粉碎过程的各个粒级受到的碎裂见有随机性质,即有的颗粒受破裂多些,有的少些,有的则直接进入产品而不受破裂,这就是所谓选择性或称概率性。用S表示受到粉碎作用颗粒的比例,即粉碎概率,称为选择函数,并假定为对角阵

在本例中S=0.5。
本例P的计算如下

上述是一次粉碎的情况。矩阵模型是把粉碎过程看作一系列川继发生的粉碎事件,后一次的给料是前一次的产品,对于二次反复粉碎则为

因而在进行n此反复粉碎后,则成为

由于缺少提供关于物料固有碎裂特性的非破坏性试验方法,所以碎裂函数B是一个很难用实验方法确定的两数。但是,在给定设备中粉碎特定物料时,存在一种持有的产品粒度分布形式,它和被碎料的性质和对其施加作用力的条件有关。布劳得本持和卡尔考特于1956年建议采用罗辛—拉姆勒方程的修正式表示,即

式中B(x,y),表示原来粒度为y经粉碎后小于x粒径的质量分数。因而有的学者把破裂函数B又称为分布函数。
对于选择函数S来说,与粉碎机械的粉碎机理、碎料的性质和粒径等有关。但是至今还没有理论解,只是用实验的方法在特定粒度范围内有如下的关系

式中x为粒径,K和α为常数。
上一篇:关于粉碎理论的研究成果
下一篇:筛分效率及影响筛分效率的因素