
服务热线
当前位置:首页>媒体中心>产品百科>各种矿物的相对独立磨碎原理
来源: 发表时间:2015-05-21 08:38:00 点击次数:【】
表34及图13的结果说明,由纯矿物组成的碎散混合矿物与纯矿构成实际矿石相同,它们在磨碎过程中均遵循一线密矿动力学规律。
表35、36以及图15、16的结果说明,处于碎散混合物中的单矿物磁铁矿及石英,它们在磨碎过程中亦逍循一级磨矿动力学规律, 并不因为有其他矿物粒子的存在而变成无规律或改变磨碎规律, 但毎种矿物各有自己的磨矿动力学参数,此即称为矿物的相对独立磨碎原理。这就是说,混合矿物中各种矿物均有自己的磨碎规律及磨碎参数,具有各自的独立性,并未涉及某一种矿物单独磨碎与在混合物中磨碎情况下是否有影响,因此这种独立性也是相对的,属相对独立磨碎原理。而所谓绝对独立磨碎原理,则是指某一种矿物单独磨碎与在混合物中磨碎的情况完全相同,不仅规律性相同,磨矿动力学参数也相同,或者说,某种矿物的磨碎丝毫都不受混合矿物中其他矿物存在的影响。

对于混合矿物的磨碎,国内外都作过不少研究。对于在磨碎过程中不同矿物之间是否存在相瓦影响目前主要有两种观点:一种认为相互没有影响,单独磨碎与在混合物中磨碎情况一样;另一种观点则认为存在相互影响。由于各个研究者的具体研究条件可能不同,故得出的结论不一,下面具体简单介绍这两种观点。

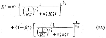
认为混合矿物磨碎时无相互影响的主要是J.A.霍尔门斯及K.A.拉苏莫夫等人。例如J.A.霍尔门斯认为:混合矿料中每一组分磨碎后的粒度分布,无论是单独磨细或在混合料中磨细,本质上皆遵循同样的舒曼粒度特性方程式,即选择性磨细对每一组分碎后的粒度分布无影响。坦卡对混合料磨细时组分的相互影响进行了细致的分析,并分为五种愔况,其中之一为相互无影响 (其他四种为有影晌的怙况),即混合磨细二组分时,二组分的可磨性与单独磨细时的一样〔。K.A.拉苏莫夫1968年在第八届国际选矿会议上提出过一个磨矿力学公式,并用石英与磁铁矿作过磨碎验证,该公式为:

式中R'、R0'一一磨碎时间t及磨矿开始时粗级別含量;
n'、k'——磨矿动力学参数。
曾用人工配制的磁铁矿-石英混合料进行甙验,先测得石英和磁铁矿各自单独磨细时的动力学参n1'、k1'、n2'、k2'然后按下式计算十0.3mm级别的产率:

式中β'石英在混合料中的含量。按公式(25)所得的计算值和混合料磨细后粗级别产率的试验值进行比较,结果相符。据此认为,混合料中每一组分的磨细枏互无影响。

认为混合矿料磨碎时矿物之间有相互影响的研究者也不少。例如坦卡提出矿料混合物磨细时矿物组分之间相互无影晌只是一种情况,更多的则是相互有影响,并认为混合磨细时会使可磨性本不相同的两种组分可磨性趋于一致,即硬的变易磨,软的变难磨,或者是最初无影响,但随细度增加影响增大等。昆明工学院硕士研究生刘升明用磁铁矿及石英进行的磨碎研究表明, 混合矿料磨碎时,尽管矿物的磨碎规律及粒度分布规律不变,但表征规律的方程式参数却是变化的,硬矿物变得比单独磨碎时更磨碎,而软矿物则变得比单独磨碎时更难磨碎。所以认为,混合矿料磨碎时矿物之间普遍存在着相互影响。因为考查一种矿物的磨碎,另一种矿物的存在即成为磨矿环境,磨矿环境对矿物的磨碎必然产生影响,没有影响倒难于理解。经过进行大量的研究均已证实,磨碎两种硬度不同的矿物混合料,矿物之间存在着明显的相互影响:其中硬矿物对软矿物有"屏蔽"作用,使软矿物受到保护、磨碎减慢;软矿物则对硬矿物有"催化"作用,使硬矿物磨碎速度加剧。由于这两种反向影响,使软硬两种矿物的可磨性互趋一致,这与坦卡的结论一致。另一方面,由于粒度变化也按反向进行,故加权计算值与试验值接近,这又与K.A•拉苏莫夫所说的无影响一致。

由图14的曲线可以看出,混合矿物的磨碎曲线似乎是组成混合矿料的两种矿物磨碎曲线的加杈平均值,混合料的m值及k值也 介于两种单矿物的m及k值之间。
上一篇:球磨机的工作原理与分类
下一篇:格子型球磨机的构造
OD在线-OD在线(中国)
B体育·(中国)官网 - BSPORTS
bsports(中国)B—sports登录入口
千亿·球友会(中国)官方网站
qy球友会·(千亿)-官方网站
QY·千亿(球友会)官方网站
江南手机网页版_江南(中国)
万搏官方网页版-万搏(中国)
万搏登陆_万搏(中国)