
服务热线
当前位置:首页>媒体中心>产品百科>物料的粒度组成及粒度分析
来源: 发表时间:2015-05-14 11:21:08 点击次数:【】
碎矿、磨矿和选别过程所处理的矿石,都是大小形状各异的各种矿粒的混合物。从外表看“杂乱无章”,但按其粒度分布情况看,都有一定的规律性。粒度就是矿块(或矿粒)大小的量度,一般以mm(或μm)为单位。借用某种方法将矿粒混合物分成若干级别,这些级别叫做粒级。用称量法称出各级别的质量并计算出其质量百分率(或累计质量百分率),也就是求出了各粒级的相对含量,矿粒混合物中各粒级的相对含量叫做粒度组成,从粒度组成可以看出各粒级在矿粒混合物中的分布情况,这种测定粒度组成的试验叫做粒度分析。
在选矿生产过程中,物料的粒度、形状及其分布规律对各作业指标有重大影响,针对油料的不同粒度范围应采取个同的处理方法,在确定选矿工艺流程和选矿设备时,物料的粒度组成是需要考虑的一个重要因素。因此粒度分桥是选矿中经常遇到的一项重要工作。
常用的粒度分析方法,根据物料粗细不同,可以采用下列三种方法:
(1)筛分分析(简称筛析)。它是利用筛孔大小不同的一套筛子进行粒度分析。一般用于粒度为100—0.043mm的物料。
(2)水力沉降分析(简称水析)。它是利用不同尺寸的颗粒在水中的沉降速度不同而分成若干级别的分析方法。一般用于粒度为0.043—0.005mm的物料。
(3)显微镜分析。它主要用采分析微细物料,其最佳测定粒度范围为0.04—0.001mm。一般用来校正水析。
在选矿生产和试验研究中,经常采用的粒度分析方法是筛析和水析。
矿块(或矿粒)一般都具有不规则的形状,因此它的真实坡度是很难测定的,通常用近似的方法表示。根据研究对象和目的的不同,一般采用以下三种表示方法:
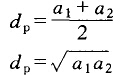
(1)平均直径表示法。对于单个矿块,为了表示它的大小,习惯上用平均直径表示。当矿块的粒度很大时,一般是直接进行测量,测出矿块的长度和宽度,然后取二者的算术平均值,即为其平均直径。如果要求准确度较高,或矿块的形状更不规则,则可再加测矿块的厚度,取长、宽、厚三者的算术平均值为其平均直径。
设矿块的平均直径为dp,则

式中,l为矿块长度;b为矿块宽度;h为矿块厚度。
这种方法常用来测定大矿块,如选矿厂用来测定碎矿机的给矿和排矿中的最大块的粒度。
(2)等值直径表示法。村粒度细小的矿块可以用等值直径dp来表示它的大小:所谓等值直径就是与矿块等体积的球体直径。设矿块的体积为v,其质量为G,密度为δ,而球的体积为πd³/6,在等体积的条件下,其等值直径为

(3)粒级的表示法:最常用的粒级表示法是“上下限表示法”。物料进行筛分时,通过筛孔为al的筛面而留在筛孔为a2的筛面上的矿粒,其粒级表示为:

减号“-”表示小于,加好“+”表示大于。如:-10+6mm或10—6mm。
在碎矿和磨矿过程中所遇到的矿石都是含有各种粒级的混合物料,而这些混合物料的平均直径对于了解物料的特性,研究粉碎理论,检查碎磨矿设备的操作指标等都有重要意义。
A 平均粒度
平均粒度分以下两种:
(1)窄级别混合物料的平均粒度。对于这种混合物料,可以用“上下限表示法”并计算其平均直径;即根据混合物料中已知的最小粒度及最大粒度来计算。如上所述物料通过筛孔为小的筛面而留在筛孔为a2的筛面上的这部分物料的平均直径可以用算术平均值表式
或采用几何平均值 
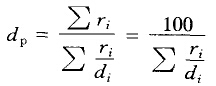
(2)宽级别混合物料的平均粒度。对于这种混合物料,可首先进行筛析,求出粒皮组成后采用统计学求平均值的方法计算其平均直径。如已知混合物料中各窄粒级的平均直径分别为d1、d2、d3、…,其产率分别为r1、r2、r3、…,则该物料的平均粒度可以下列三种方法计算
1)加权算术平均法:
2)加权几何平均法:

取对数

3)调和平均法:

以上三种方法计算所得的结果是:算术平均值>几何平均值>调和平均值
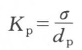
B 物料的均匀度
平均直径虽反映了混合物料的平均粒度,但还不能全面说明物料的粒度性质。因为可能有这种情况,即两批物料的平均直径相等,但它们各相同粒级的产率不同,也可能它们的最大和最小粒度不同。为了能对物料的粒度性质有全面的说明,除平均粒度外,还要用偏差系数Kp来说明物料的均匀程度。其计算公式如下

上一篇:碎矿流程考查的计算及结果分析
下一篇:矿石自磨流程
OD在线-OD在线(中国)
B体育·(中国)官网 - BSPORTS
bsports(中国)B—sports登录入口
千亿·球友会(中国)官方网站
qy球友会·(千亿)-官方网站
QY·千亿(球友会)官方网站
江南手机网页版_江南(中国)
万搏官方网页版-万搏(中国)
万搏登陆_万搏(中国)