
服务热线
来源: 发表时间:2015-05-07 17:18:09 点击次数:【】
筛分作业通常用于粒度为1mm以上物料的分级;但是,近年来,细筛已成功地用于小于1mm物料的分级,因此,在工业应用中,最小筛孔尺寸达0.05 mm。筛分作业在冶金工业中是不可缺少的。此外,在煤炭、建筑、化工和其他工业部门中也广泛应用。在选矿厂中,筛分通常可以作为辅助作业、准备作业,也可作为筛选作业。筛分作业按照用途不同可分为以下几类:
将松散物料分为若干个级别,然后,分別送至下一步工序进行处理,称为准备筛分。例如,某些钨矿在重力选矿前将破碎产品用筛子分为粗粒、中粒和细粒,分别送往不同 的跳汰机进行选别。
物料进入破碎机之前,用筛子将物料中小于破碎机排矿口宽度的细粒级筛分出去,仅将大于排矿口宽度的物料给入破碎机进行破碎,从而减少破碎机的负荷和避免物料过粉碎。几乎在所有破碎机之前,都设置预先筛分作业。
对破碎机的产品进行筛分,使筛上产品(大于规定的粒级)返回破碎机再破 碎的筛分作业,筛下产品则为该破碎段的合格产品。一般只在最后一段破碎作业中采用。
将物料按用户要求筛分成若干粒度级别,直接作为出厂产品的筛分作业。例如在黑色金属矿山的破碎筛分厂中,将富铁矿石用筛子分成粒度不同的级别供给高炉冶炼;在选煤厂常将煤炭筛分成大小不同的级别直接供应用户。
当物料中有用成分在各个粒级中的分布有显著差别时,可以通过筛分将有 用成分富集的粒级同含有用成分较少的粒级分开,前者作为粗精矿;后者送选别工序或当作尾矿丢掉。这种对有用成分起选择性作用的筛分作业,实质上是一种选别工序,因而也称为"筛选"。 在铁矿磁选流程中所采用的细筛就是一例。
除此之外,在选矿厂中,有时筛分作业也可作为脱水、脱介筛分或者洗矿筛分。
筛分作业一般采用干法。但对于潮湿物料及夹带泥质的物料,进行干法筛分很困难,需要采用在筛面上喷压力水,将细粒级及泥质冲洗下去。
松散物料的筛分过程,可以看作由两个阶段组成:(1)小于筛孔尺寸的颗粒通过筛上颗粒所形成的物料层到达筛面;(2)小于筛孔尺寸的颗粒透过筛孔。
要使这两个阶段能够实现,物料在筛面上应有适当的运动,一方面要使筛面上的物料层处于松散状态,有利于物料层产生析离,即按粒度分层,大颗粒在上层,小颗粒位于下层,容易到达筛 面,并透过筛孔。另一方面,物料和筛子的运动应促使堵在筛孔上的颗粒脱离筛面。
筛分实践表明,粒度小于筛孔3/4的颗粒,很容易通过粗粒物料在筛面上形成的间隙,到达筛面,到筛面后很快就透过筛孔。因此,这种颗粒在可筛性上被称为"易筛粒"。粒度大于筛孔 3/4的颗粒,通过粗粒组成的间隙比较困难,所以也难以透过筛孔;而且颗粒直径愈接近筛孔尺寸,透过筛孔的困难程度就愈大,这种颗粒被称为"难筛粒"。原料中含的"难筛粒"数量愈少,筛分愈容易,在相同的筛分条件下,所得的筛分效率也愈高。下面根据矿粒通过筛孔的概率理论来进行说明。
矿粒通过筛孔的可能性称为筛分概率。一般来说,筛分概率与下列因素有关:(1)筛孔尺寸; (2)矿粒与筛孔的相对大小;(3)筛子的有效面积;(4)矿粒运动方向与筛面的夹角;(5)矿粒的含水量和含泥量。
由于筛分过程是许多复杂现象和因素的综合,因此不易用简单的数学式来确切地描述,这里仅仅从颗粒尺寸与筛孔尺寸的关系进行讨论,并假设某些理想条件(如颗粒是垂直地投入筛孔), 得到颗粒透过筛孔的概率公式。
松散物料中粒度比筛孔尺寸小得多的颗粒,在筛分开始后,很快就落到筛下产物中,粒度与筛孔尺寸愈接近的颗粒,透过筛孔所需的时间愈长。所以,物料在筛分过程中透过筛孔的速度取决于颗粒直径与筛孔尺寸的比值。

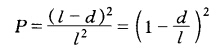
研究单颗矿粒透过筛孔的概率如图2-6所示,假设由一个无限细的筛丝制成的筛网,筛孔为 正方形,每边长度为l。如果一个直径为d的球形颗粒,在筛分时垂直地向筛面下落,可以认为, 颗粒不与筛丝相碰时,它就可以奄无阻碍地透过筛孔。换句话说,要使颗粒顺利地透过筛孔,在颗粒下落时,其中心应投在绘有虚线的面积(l-d)2内,见图2-6a。由此可见,颗粒透过筛孔或者不透过筛孔是一个随机现象。有利于颗粒透过筛孔的机会的次数与面积(l-d)2成正比,而颗粒投到筛孔上的次数则与筛孔的面积L2成正比。因此,直径为d的颗粒每次跳动的透筛概率等于可以透过筛孔的面积(l-d)2与筛孔面积/2之比。即

由式2-18可见,颗粒直径愈接近于筛孔尺寸,P值愈小,当d = L时,P = 0。
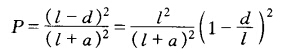
若考虑筛丝的尺寸图2-6b,与上面所讨论的原理一样,得到颗粒透过筛孔的概率公式

式中a——筛丝直径。
上式说明,筛孔尺寸愈大,筛丝和颗粒直径愈小,则颗粒透过筛孔的可能性愈大。还可以看出,筛孔面积与筛面面积之比l2/(l + a)2愈大,则透筛概率愈高。
取不同的d/l比值,按式2-18计算出的尸值列于表2-4。

由表2-4可见,相对粒度d/l愈小,透筛概率愈髙,这就是细粒物料容易透过筛孔的原因。 通常称相对粒度d/l<0.75的颗粒为"易筛粒";而与筛孔尺寸愈接近的颗粒透筛概率愈低,当相对粒度接近于1时,其透筛概率趋近于零。因此,在筛分实践中,通常把相对粒度介于0.75~ 1.0的颗粒称为"难筛粒"。
上一篇:磨矿的理论与工艺
下一篇:磨机内钢球的运动状态和磨矿作用
OD在线-OD在线(中国)
B体育·(中国)官网 - BSPORTS
bsports(中国)B—sports登录入口
千亿·球友会(中国)官方网站
qy球友会·(千亿)-官方网站
QY·千亿(球友会)官方网站
江南手机网页版_江南(中国)
万搏官方网页版-万搏(中国)
万搏登陆_万搏(中国)