
服务热线
当前位置:首页>媒体中心>产品百科>钢球在磨机中的运动与能态变化
来源: 发表时间:2015-05-06 14:11:31 点击次数:【】
在球磨机中,除了不需要的钢球作离心运转这种特殊状态外, 不论钢球作抛落运动还是作泻落运动,或是磨机内的球荷介于前二者的混合状态下,运动着的钢球其能态是变化的。下面分析钢球一个运动周期中的能态变化。
处于磨机筒体底部的钢球对筒底的位能为零,机械能为零,此 时钢球尚未开始运动。当磨机靠筒壁对球荷的摩擦力而带着钢球上升时,钢球的位能在逐步增大,且钢球开始运动,具有动能。此过程中•电网的电能转变为磨机筒体运动的机械能,而这个机減能又通过运动传给钢球变为钢球的机械能。当磨机筒体把钢球带到最高位置时,钢球具有最大的位能,同时,运动到最高位置时的钢球还具有下落的初始动能。此时,钢球的机械能包括位能和动能。当钢球从最高位置往下抛落或滑落时,位能开始减小,动能则开始增大。在此过程中钢球的机械能转变为动能,在钢球落下打击矿块的前一瞬间,钢球的机械能完全转变为动能。当钢球打击矿块时,钢球的动能释放出来通过打击力而对矿块做功。这个功使矿块变形、开裂乃至破坏。此过程中,钢球做的功转变为矿块的变形能、裂纹形成和扩展的能以及形成新生的表面能。至此,钢球的一个运动周期结束,钢球又处于磨机筒体的最低位置,位能为零,在开始下一周期运动前一瞬间机械能为零。接着又被筒体带着往上运动,开始第二周期运动,周而复始。
通过上述钢球一个运动周期中的能态变化分析可以看出•.从物理现象上看,钢球在磨矿机中是破碎作用的实施体,对矿石实 施打击和磨剥作用,完成磨碎矿石的任务;从钢球的能态的变化 上看,钢球是个能量传递的媒介体,它将磨机筒体传来的机械能 转变为自身的机械能,而通过打击做功而传给矿石,因此,称钢 球为磨矿介质,主要指它是能址传递的媒介体,是磨矿作用的传递体。
由于钢球肩负能量的传递,因此,破碎能量传递的多少也就由钢球自身来决定。从物理学常识知道,钢球达到最高位置时的机械能为:
E机=E位+ E0动
式中 E机——钢球机械能;
E位——钢球具有的位能;
E0动——钢球达最高上升位置时的初始动能。 或者也可表示为:

式中 m——钢球质量;
g——重力加速度;
H——钢球在磨机中下落的绝对高度;
υ——钢球在脱离点时的运动初始速度,即磨机运转时的线速度。
这个机械能也即是钢球能够传递的能量,当磨机规格大小和运动速度也确定时,H及υ均是定数,而g是常数,故钢球能传递的机械能完全由钢球的质童m来决定,即质量大的钢球能传递的机械能大,质量小的钢球能传递的机械能小。
又因钢球质量所为:

式中 D——钢球直径;
δ——钢球密度。
对一定材质的钢球,其密度δ为一常数,锻钢球的δ为7. 8g/cm3, 因此,钢球质量完全由其直径来决定了。也就是说,大直径的钢球传递的能量大,小直径的钢球传递的能量小。
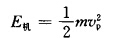
当钢球下落时,在落到筒体底层而打击矿石前一瞬间,位能为零,机械能全部变为动能,即

式中υp——钢球下落终了的末速。
上一篇:磨矿过程的耗能与节能
下一篇:我国粗磨机钢球尺寸的现状
OD在线-OD在线(中国)
B体育·(中国)官网 - BSPORTS
bsports(中国)B—sports登录入口
千亿·球友会(中国)官方网站
qy球友会·(千亿)-官方网站
QY·千亿(球友会)官方网站
江南手机网页版_江南(中国)
万搏官方网页版-万搏(中国)
万搏登陆_万搏(中国)